ソフトウェア リアルタイムPCR装置 Micシリーズ

micPCR ソフトウェア
micPCR ソフトウェアは、Mic リアルタイムPCR装置に付属する機器オペレーションとデータ解析を行うためのソフトウェアです。
定量PCR実験の論文公開における最低限の情報公開事項を定めるMIQEガイドライン(Minimum Information for Publication of Quantitative Real-Time PCR Experiments)に準拠した解析が可能です。
リアルタイムPCR解析の初心者から熟練者まで使いやすい機能的なソフトウェア設計です。
GxP環境下で使用される方のために21 CFR Part 11にも対応しています。

対応アプリケーション
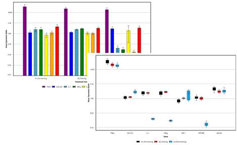
相対定量解析

遺伝子発現の相対定量は定量PCR解析で最も頻繁に使われる解析方法です。実験群間(処理間)における特定のmRNAの発現量を比較し、発現比(expression ratio)としてレポートします。
micPCRソフトウェアは、 REST法、ΔCT法、ΔΔCT法などの解析法に対応しています。

解析結果はグラフと数値データの両方でレポートすることができます。
発現解析グラフは、棒グラフ(bar graph)と箱ひげ図(Box and Whisker graph)を選択できます。

数値データは下記を計算してレポートします。
・発現比(Expression Ratio)
・標準誤差(Standard Error: SE)
・95%信頼区間(95% CI)
・p値(P Value)
・発現 Up or Down(Result)
絶対定量解析

絶対定量は相対定量と並んでよく使われる定量PCR解析手法です。
コピー数が既知の標準サンプルを用いてスタンダードカーブを作製し、そこから未知試料のコピー数を算出します。
ウイルスのコピー数定量などでよく使用されます。

Mic リアルタイムPCRは、ウェル間の温度均一性に非常に優れます(温度均一性 < ±0.1℃)。
そのため高精度な絶対定量解析を行うことができます。
融解曲線解析

micPCRソフトウェアは融解曲線解析機能を備えます。
インターカレーター法による遺伝子発現解析における増幅産物のターゲット特異性の検証、あるいはジェノタイピング実験に使用します。

融解曲線解析では、二本鎖DNAが一本鎖DNAに解離する温度を蛍光強度の変化としてモニタリングすることで、それぞれのサンプルの融解温度(Melting Temperature: Tm)を算出します。
SYBR Green等を用いたインターカレーター法では、増幅サイクル後に融解曲線解析を行うことで、PCR産物にプライマーダイマー等の副産物が含まれていないことを検証することができます。インターカレーター法の反応特異性を検証する大切なステップです。
ジェノタイピングにおいては、スタンダードサンプルの融解温度と比較することで、未知サンプルのアレルタイプ(遺伝子型)を自動的に判別してレポートします。
※ 融解曲線は解離曲線とも呼ばれます。
遺伝子型判別

アレル特異的加水分解プローブあるいはモレキュラービーコンを用いたリアルタイムPCRデータから未知サンプルの遺伝子型を判別します。
融解曲線ではなく、リアルタイム・カイネティックデータから遺伝子型の判別を行います。

遺伝子型判別モードでは、横軸をサイクル数、縦軸をノーマライズ後の蛍光強度とするグラフが作られ、そこから各サンプルの遺伝子型の判別が行われます。
野生型、ホモ接合体、ヘテロ接合体など、それのれの遺伝子型ごとに閾値を設定すると、ソフトウェアが自動的に判断してレポートします。
高解像度融解曲線解析(HRM)

高解像度融解曲線解析(High-Resolution Melting Analsyis)は、融解温度(Melting Templerature; Tm)の違いにより、1塩基レベルで異なるDNA配列を高精度に区別して解析します。
既知の遺伝子多型を簡便かつ安価に解析できる実験手法です。

Mic リアルタイムPCRはブロック式のqPCRサイクラーにはない優れたウェル間温度均一性を持ちます。
特にHRM対応モデルは±0.05℃のウェル間温度均一性もち、ClassⅣ SNPs(A→T)を高い精度で解析することができます。
※ 本機能を使用するには、装置ご購入時に4チャンネルHRMモデルをご選択いただく必要がございます。
プロジェクト解析機能

Mic リアルタイムPCR装置は、ウェル間の再現性だけでなく、同一装置による測定間の再現性、そして装置間の測定再現性にも優れます。
プロジェクト解析機能は、同一装置による異なる測定の結果、あるいは異なる装置による測定結果をまとめて1つの実験としてデータ解析を行う機能です。

この機能を使用することで、最大10ラン(480データポイント)あるいは最大10台の測定結果を1つに統合して解析可能です。
すべてのサンプルが揃うのを待つことがなく、準備できたサンプルから順番に測定することができるためデータを得るまでの時間を短縮できます。
また、反復測定数が足りない時に後でサンプルを追加して解析を行うのも容易です。
サンプル識別機能

特定のウイルスや細菌が被検体に含まれているかを解析したいことはありませんか?
micqPCRソフトエアのサンプル識別機能は、リアルタイムPCRデータの増幅パターンから、特定の遺伝子が検体に含まれているかどうかを検定することができます。

食品の遺伝子組み換え作物検査(GMO)、ウイルス感染診断、細菌感染診断などでは、特定の遺伝子が検体に含まれているかどうかを検査することがあります。
サンプル識別機能は、標準サンプルとの比較により、増幅曲線のパターンから、サンプル中に特定の遺伝子が含まれているかどうかを識別する機能です。
識別のためのパラメーターは、検体毎あるいは実験毎(ラン毎)に変更することができます。
製品/シリーズに関するお問い合わせ
製品に関するご質問や技術的なお問い合わせなどはこちらのフォームをご利用ください。